ПОСТАНОВЛЕНИЕ № 372 ОТ 30 ДЕКЕМВРИ 2025 Г.
за изменение на Наредбата за оценка на поземлени имоти в горски територии,
приета с Постановление № 236 на Министерския съвет от 2011 г.
(обн., ДВ, бр. 63 от 2011 г.; изм. и доп., бр. 99 от 2012 г. и бр. 34 от 2016 г.)
МИНИСТЕРСКИЯТ СЪВЕТ
ПОСТАНОВИ:
§ 1. В чл. 22, ал. 4 думата „левове“ се заменя с „евро“.
§ 2. В чл. 31 думата „левове“ се заменя с „евро“.
§ 3. Приложение № 1 към чл. 7, ал. 1 се изменя така:
„Приложение № 1 към чл. 7, ал. 1

§ 4. Приложение № 3 към чл. 7, ал. 5 се изменя така:
„Приложение № 3 към чл. 7, ал. 5

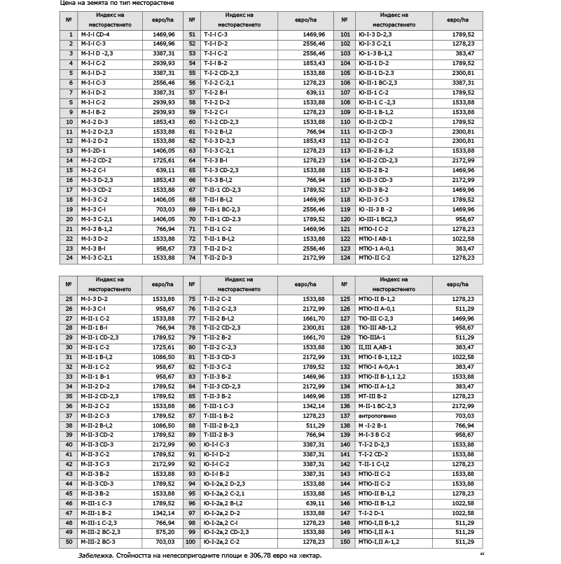
§ 5. Приложение № 19 към чл. 11, ал. 1 и чл. 21, ал. 2 се изменя така:
„Приложение № 19 към чл. 11, ал. 1 и чл. 21, ал. 2
ВИЖ приложението
§ 6. Приложение № 20 към чл. 21, ал. 4 и чл. 29, ал. 2 се изменя така:
„Приложение № 20 към чл. 21, ал. 4 и чл. 29, ал. 2
ВИЖ приложението
§ 7. Приложение № 21 към чл. 21, ал. 5 се изменя така:
„Приложение № 21 към чл. 21, ал. 5
ВИЖ приложението
§ 8. Приложение № 23 към чл. 24, ал. 2, чл. 25, ал. 1, чл. 26, ал. 1 и 4 и чл. 27, ал. 1 и 3 се изменя така:
„Приложение № 23 към чл. 24, ал. 2, чл. 25, ал. 1, чл. 26, ал. 1 и 4 и чл. 27, ал. 1 и 3

Преходни и заключителни разпоредби
§ 9. Плащането на цените в левове в брой може да се извършва само за период от един месец от датата на въвеждане на еврото в Република България (период на двойно обращение на лева и еврото) съгласно чл. 24 от Закона за въвеждане на еврото в Република България при използване на официалния валутен курс, изразен с шест цифри с всичките пет знака след десетичната запетая, и при спазване на правилото за закръгляване, регламентирано в чл. 13 от същия закон.
§ 10. Оценки на поземлени имоти в горски територии, изготвени и представени преди влизането в сила на постановлението, са валидни до изтичането на срока им.
§ 11. Постановлението влиза в сила от датата, определена в Решение (ЕС) 2025/1407 на Съвета от 8 юли 2025 г. относно приемането на еврото от България, считано от 1 януари 2026 г. (OВ, L 2025/1407 от 14.7.2025 г.).
Министър-председател: Росен Желязков
Главен секретар на Министерския съвет: Габриела Козарева
5